Pasar al contenido principal
Aprendo en Línea
Navegación principal
  • Inicio
  • Educación Parvularia
  • Básica 1° a 6°
  • 7° a 2° Medio
  • 3° y 4° Medio
  • Ayuda
  • Buscar
Menú de cuenta de usuario
  • Docentes

Ruta de navegación

  1. Inicio
Guía

Texto escolar NT2 o Kínder - Actividad 10

Guía

Texto escolar NT2 o Kínder - Actividad 09

Guía

Texto escolar NT2 o Kínder - Actividad 08

Guía

Texto escolar NT2 o Kínder - Actividad 07

Guía

Texto escolar NT2 o Kínder - Actividad 06

Imagen portada
Actividades sugeridas

Plan de Implementación Curricular E-Learning Esc. República del Ecuador

Imagen portada
Guía

Texto escolar NT2 o Kínder - Orientaciones para padres semana 2

Imagen portada

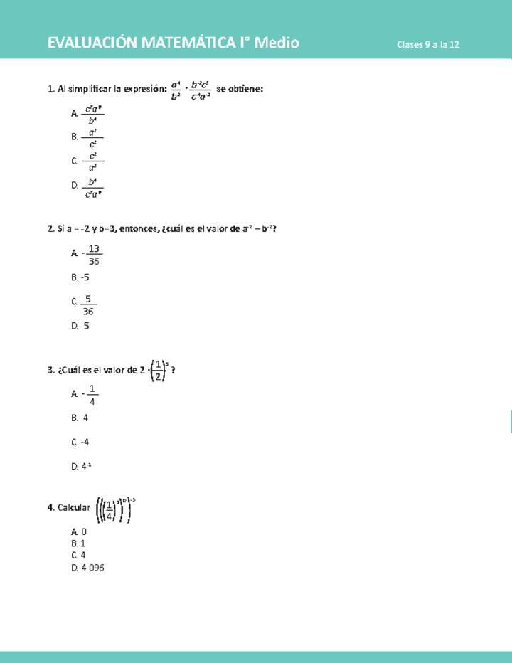
Evaluación Matemática 1ºmedio Unidad 1 Semana 3

Imagen portada

Evaluación Matemática 8ºbásico Unidad 1 Semana 3

Imagen portada

Solucionario Matemática 3º medio Unidad 1 Semana 3

Paginación

  • Primera página « Primero
  • Página anterior ‹ Anterior
  • …
  • Página 1794
  • Página 1795
  • Página 1796
  • Página 1797
  • Página 1798
  • Página 1799
  • Página 1800
  • Página 1801
  • Página 1802
  • …
  • Siguiente página Siguiente >
  • Última página Último »
Suscribirse a
Niveles
Educación parvularia
Básica 1° a 6°
7° a 2° Medio
3° a 4° Medio
Ayuda
Preguntas frecuentes
Contacto
Ayuda Mineduc
Acceso docentes
Acerca de este sitio
Términos y condiciones de uso